1991번: 트리 순회
첫째 줄에는 이진 트리의 노드의 개수 N(1≤N≤26)이 주어진다. 둘째 줄부터 N개의 줄에 걸쳐 각 노드와 그의 왼쪽 자식 노드, 오른쪽 자식 노드가 주어진다. 노드의 이름은 A부터 차례대로 영문자
www.acmicpc.net
문제
이진 트리를 입력받아 전위 순회(preorder traversal), 중위 순회(inorder traversal), 후위 순회(postorder traversal)한 결과를 출력하는 프로그램을 작성하시오.

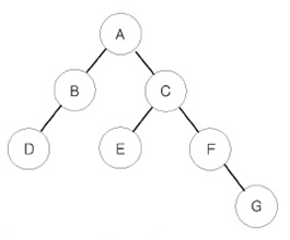
예를 들어 위와 같은 이진 트리가 입력되면,
- 전위 순회한 결과 : ABDCEFG // (루트) (왼쪽 자식) (오른쪽 자식)
- 중위 순회한 결과 : DBAECFG // (왼쪽 자식) (루트) (오른쪽 자식)
- 후위 순회한 결과 : DBEGFCA // (왼쪽 자식) (오른쪽 자식) (루트)
가 된다.
입력
첫째 줄에는 이진 트리의 노드의 개수 N(1≤N≤26)이 주어진다. 둘째 줄부터 N개의 줄에 걸쳐 각 노드와 그의 왼쪽 자식 노드, 오른쪽 자식 노드가 주어진다. 노드의 이름은 A부터 차례대로 영문자 대문자로 매겨지며, 항상 A가 루트 노드가 된다. 자식 노드가 없는 경우에는 .으로 표현된다.
출력
첫째 줄에 전위 순회, 둘째 줄에 중위 순회, 셋째 줄에 후위 순회한 결과를 출력한다. 각 줄에 N개의 알파벳을 공백 없이 출력하면 된다.
예제 입력 1
7
A B C
B D .
C E F
E . .
F . G
D . .
G . .
예제 출력 1
ABDCEFG
DBAECFG
DBEGFCA
풀이 .
import java.io.*;
import java.util.StringTokenizer;
public class Main {
static BufferedReader br = null;
static BufferedWriter bw = null;
static StringTokenizer st = null;
static StringBuilder sb = null;
static char[][] tree = null;
public static void preorder(int node) {
sb.append(tree[node][0]);
if(tree[node][1] != '.') {
preorder(tree[node][1] - 65);
}
if(tree[node][2] != '.') {
preorder(tree[node][2] - 65);
}
}
public static void inorder(int node) {
if(tree[node][1] != '.') {
inorder(tree[node][1] - 65);
}
sb.append(tree[node][0]);
if(tree[node][2] != '.') {
inorder(tree[node][2] - 65);
}
}
public static void postorder(int node) {
if(tree[node][1] != '.') {
postorder(tree[node][1] - 65);
}
if(tree[node][2] != '.') {
postorder(tree[node][2] - 65);
}
sb.append(tree[node][0]);
}
public static void main(String[] args) throws IOException {
br = new BufferedReader(new InputStreamReader(System.in));
bw = new BufferedWriter(new OutputStreamWriter(System.out));
sb = new StringBuilder();
int n = Integer.parseInt(br.readLine());
tree = new char[n][3];
for(int i = 0; i < n; i++) {
st = new StringTokenizer(br.readLine());
char node = st.nextToken().charAt(0); // 노드의 문자를 인덱스로 맞춰준다.
tree[node - 65][0] = node;
tree[node - 65][1] = st.nextToken().charAt(0);
tree[node - 65][2] = st.nextToken().charAt(0);
}
preorder(0); sb.append("\n");
inorder(0); sb.append("\n");
postorder(0); sb.append("\n");
bw.write(sb.toString());
br.close();
bw.flush();
bw.close();
}
}
tree[node][0] = node
tree[node][1] = node의 왼쪽 자식
tree[node][2] = node의 오른쪽 자식
각 순회의 조건에 맞추어 재귀를 사용해 처리한다.
입력이 A, B, C 순이 아닌 무작위란 것에 주의해야 한다.
알파벳 순 입력으로 착각하여 반복변수 i를 행번호로 두었다가 틀렸었다.
알파벳이 각자 자신의 인덱스를 찾아가도록 직접 지정해주어야 한다.
'알고리즘 문제 > 백준 온라인 저지' 카테고리의 다른 글
| [BOJ] 1167 - 트리의 지름(1167) JAVA (0) | 2021.01.20 |
|---|---|
| [BOJ] 11725 - 트리의 부모 찾기 JAVA (0) | 2021.01.20 |
| [BOJ] 2146 - 다리 만들기 JAVA (0) | 2021.01.20 |
| [BOJ] 2178 - 미로 탐색 JAVA (0) | 2021.01.19 |
| [BOJ] 7576 - 토마토 JAVA (0) | 2021.01.19 |